earthlingstrust@gmail.com
+91 8800469269
Donate Now
earthlingstrust@gmail.com
+91 8800469269
Donate Now
Home
At a Glance
About Us
Our Gallery
News and Press Release
Success Stories
Help Geet Get Her Cataract Surgery
Our Campaigns
Summer dog relief
Sponsor fresh fruits
Meals for dogs
Winter dog care
Fund blood test
Treatment & Therapies
Feed 400+ dogs
Build their shelter
Sponsor prescribed food
TheraPaws
Our Blogs
Certification
Contact
Contact Us
Terms And Conditions
Refund and Returns Policy
Privacy Policy
Home
At a Glance
About Us
Our Gallery
News and Press Release
Success Stories
Help Geet Get Her Cataract Surgery
Our Campaigns
Summer dog relief
Sponsor fresh fruits
Meals for dogs
Winter dog care
Fund blood test
Treatment & Therapies
Feed 400+ dogs
Build their shelter
Sponsor prescribed food
TheraPaws
Our Blogs
Certification
Contact
Contact Us
Terms And Conditions
Refund and Returns Policy
Privacy Policy
earthlingstrust@gmail.com
+91 8800469269
Donate Now
Certification
Earthlings Trust
>
Certification
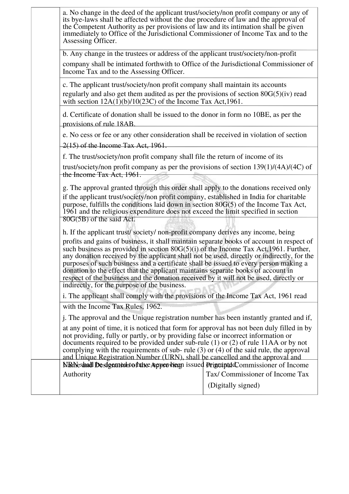
We are certified as per 80G of Income Tax
80G
Certificate
Adoption Enquiry
Fill out the form below, and we will be in touch shortly.
Contact Information
Name
phone
email
City / Locality
Housing Type
Owned
Rented (Landlord NOC Required)
Family Details (Children/Seniors at Home)
Existing Pets*
Existing Pets*
No
Yes – Dog
Yes – Cat
Yes – Other
Preferred Pet
Dog
Cat
Message
submit ⟶